Przegrana PiS-u w październikowych wyborach została przyjęta z dużym entuzjazmem za granicą. Teoretycy, badacze i praktycy liberalnej demokracji postrzegali zmianę rządu jako dowód na to, że nieliberalizm (illiberalism) można pokonać, a proces słabnięcia demokracji można odwrócić. Wciąż nie jest jednak pewne, w jakim stopniu Polacy są tak naprawdę skłonni tolerować działania niezgodne z normami liberalno-demokratycznymi, co dotyczy również dylematów związanych z polityką nowego polskiego rządu.
Nie ma „fali” populizmu?
W opublikowanej w ubiegłym roku monografii amerykański politolog Larry Bartels kwestionuje pogląd, że za sukcesy populistycznej polityki odpowiada rozczarowanie obywateli demokracją liberalną. Zamiast tego argumentuje, że demokracja „ulega erozji od góry”. Jego zdaniem wzrost poparcia dla prawicowych partii populistycznych, które były głównymi bohaterkami procesu słabnięcia demokracji, można wytłumaczyć przede wszystkim większą podażą populizmu w polityce, a nie wzrostem popytu na populizm ze strony wyborców.
Badając trendy w europejskiej opinii publicznej, Bartels twierdzi, że przypomina ona raczej „rezerwuar prawicowo-populistycznych nastrojów” niż „falę”, jak sugerowało wielu komentatorów. Według autora obywatele „zajmowali się swoim życiem politycznym w taki sam sposób, w jaki zwykle czynią to obywatele demokracji, skupiając się przede wszystkim na własnym dobrobycie gospodarczym i społecznym oraz odpowiednio do tego oceniając swoich przywódców politycznych”. W tym sensie byli oni „niewiele więcej niż biernymi obserwatorami erozji demokracji”.
Bierność to problem, ale nie jedyny
O ile jednak dowody zebrane przez Bartelsa dostarczają przekonujących argumentów za postrzeganiem demokratycznego regresu jako zjawiska wywołanego głównie przez elity, o tyle owa bierność pozostaje problemem dla demokracji. Jeśli zwycięstwo PiS-u w 2015 roku można wytłumaczyć przede wszystkim jako triumf najbardziej wiarygodnej siły opozycyjnej nad wyczerpanym rządem PO–PSL, ich późniejsze zwycięstwo w 2019 roku zrodziło pytanie, dlaczego ci, którzy aktywnie odrzucają demokrację liberalną, pozostają bezkarni. Jeśli bowiem wyborcy w skonsolidowanych demokracjach liberalnych mają w dużej mierze przekonanie, że ustrój ten jest „jedyną grą w mieście”, i jeśli to elity polityczne są odpowiedzialne za łamanie zasad tej gry, to dlaczego nie spotkały ich za to większe kary ze strony elektoratu?
Najnowsze badania wskazują na bardziej aktywny współudział obywateli. Badania dotyczące „demokratycznej hipokryzji” dowodzą mianowicie większej gotowości obywateli do tolerowania nieliberalnych poglądów i działań polityków, jeśli chodzi o polityków z własnego ugrupowania. W praktyce oznacza to, że w warunkach silnej partyjności demokratyczne zasady mogą zostać poświęcone właśnie na rzecz interesów partyjnych. Rządzący przekształcają zatem demokracją na modłę nieliberalną, kładąc nacisk na autorytarne rozwiązania (które sprzyjają ich partii) i deprecjonując prawa obywatelskie (które sprzyjają opozycji). Takie stronnicze nastawienie może mieć konsekwencje nawet w systemach partyjnych o znacznej zmienności, nie mówiąc już o systemach partyjnych tak jasno zdefiniowanych i ostro spolaryzowanych jak w Polsce.
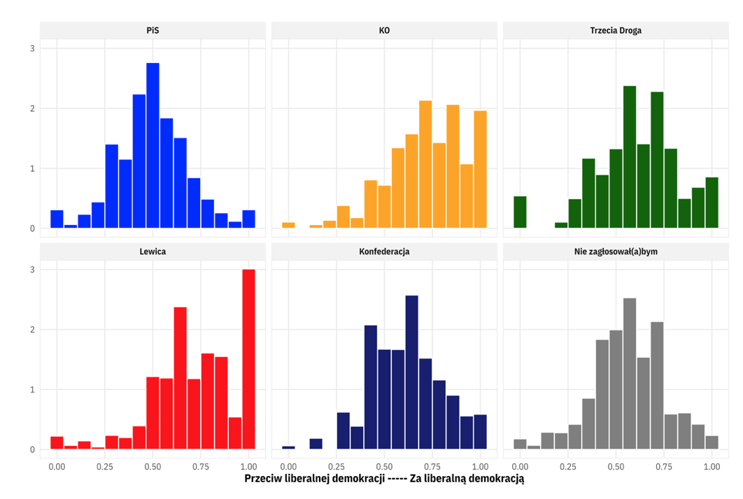
Którzy wyborcy popierają demokrację liberalną?
Dane zebrane przeze mnie w ciągu dwóch tygodni poprzedzających październikowe wybory w ramach finansowanego przez NCN projektu „Plemienność czy obojętność? Badania wartości demokratycznych i ich konsekwencji w Polsce” pozwalają sprawdzić, na ile Polacy wykazują liberalno-demokratyczne postawy i do jakiego stopnia są skłonni ignorować albo karać nieliberalne preferencje polityków.
Wykorzystując deklarowane przez obywateli postawy w kwestiach związanych z praworządnością, wolnymi i uczciwymi wyborami oraz prawami mniejszości, wyprowadziłem ogólną miarę poparcia dla liberalnej demokracji, w skali od 0 do 1. Okazało się, że przeciętny Polak umiarkowanie popiera ten system polityczny, z wynikiem 0,62. Istnieją jednak znaczące różnice między elektoratami partii, co pokazuje poniższy wykres. Przeciętny zwolennik PiS-u jest mniej przychylny liberalnej demokracji (0,50) niż ogół Polaków, a nawet mniej przychylny niż przeciętny niegłosujący (0,57), podczas gdy zwolennicy Konfederacji (0,61) i Trzeciej Drogi (0,61) są podobni do przeciętnego Polaka. Z kolei zwolennicy KO (0,72) i Lewicy (0,72) popierają demokrację liberalną bardziej niż większość.
Jednak czym innym jest posiadanie poglądów, a czym innym działanie zgodnie z nimi. Na uwagę wyborców wpływa wiele konkurujących czynników, nie tylko poglądy polityków na demokrację liberalną. Aby zatem sprawdzić gotowość wyborcy do ukarania (lub nagrodzenia) kandydata wykazującego nieliberalne poglądy, w badaniu poproszono respondentów o dokonanie wyboru między serią kandydatów, których cechy osobiste i preferencje polityczne różniły się w sposób losowy. Umożliwia to określenie, w jakim stopniu przeciętny wyborca partyjny jest skłonny zagłosować na kandydata o nieliberalnych poglądach.
Czy wyborcy karzą za nieliberalne poglądy?
Kolejny wykres pokazuje szacowane prawdopodobieństwo głosowania na kandydata, którego określone poglądy są sprzeczne z zasadami liberalnej demokracji.
Możemy powiedzieć, że w większości przypadków polscy wyborcy chętniej wybierają kandydata, który nie odrzuca zasad liberalnej demokracji, niż takiego, który je odrzuca, choć różnica nie zawsze jest znacząca. Istnieją jednak znaczące różnice na poziomie partyjnym. Ci, którzy głosowali na KO, Lewicę i Trzecią Drogę, byli bardziej skłonni ukarać nieliberalnego kandydata, przy czym szczególnie odrzucali takich kandydatów zwolennicy Lewicy.
Z kolei wyborcy PiS-u średnio byli mniej skłonni tolerować kandydata, który uważa, że obywatele powinni zostać pozbawieni demokratycznych praw ze względu na swoje poglądy. Podobnie w sprawie poglądu, że rządy powinny być w stanie nagiąć zasady na swoją korzyść, jeśli poprzedni rząd to zrobił. Byli jednak równie skłonni głosować na kandydata, który popiera ignorowanie orzeczeń sądowych lub naginanie prawa w celu rozwiązania problemów, jak głosować przeciwko takiemu kandydatowi.
Wyniki te sugerują, że nawet jeśli demokracja ulega erozji od góry, to linie pęknięć wynikają częściowo ze słabości strukturalnych na dole. Po pierwsze, stosunek Polaków do demokracji liberalnej jest dość ambiwalentny. Chociaż skłaniają się bardziej ku demokracji liberalnej niż nieliberalnej, znaczna część ma do niej stosunek negatywny, a różnica odzwierciedla się w preferencjach partyjnych.
Po drugie, mimo że nie ma wśród wyborców wielkiego apetytu na głosowanie na nieliberalnych polityków, to wśród zwolenników PiS-u i Konfederacji jest większa tolerancja dla polityków o takich poglądach. Zwolennicy koalicji rządzącej są zaś w większości przypadków mniej tolerancyjni wobec nieliberalnych polityków. Jeśli jednak pierwsze dwa miesiące nowego rządu są oznaką tego, czego można się spodziewać w najbliższej przyszłości, elektorat koalicji rządzącej będzie musiał zastanowić się, czy jest skłonny tolerować naginanie lub łamanie pewnych liberalno-demokratycznych zasad, nawet jeśli odbywa się to w imię naprawy samej liberalnej demokracji. Najbliższe miesiące pokażą zatem, czy pojawią się nowe linie pęknięć.
***
Dane analizowane w tekście pochodzą z projektu NCN 2020/39/B/HS6/00853.
* Zdjęcie użyte jako ikona wpisu: Flickr.

